Evan Peairs
Hello!
You've reached my website. Most people seem to use this site to initiate conversations about bells. I also like caves, puzzles, and oversized books. Please send emails about these things as well.
Requests for Collaborators
A few of my projects are woefully short staffed. Get in touch if any of these sound fun.
Escape Room: I'm designing an escape room-esque puzzle experience centered mostly around optics phenomena. The initial setting will have no illumination, and unlocking new sources of light will be a central mechanic. I'm aiming for a difficulty a little easier than the average Galactic Puzzle Hunt.
California Cave Survey: I'm a founding member of California's first project to catalog and manage cave data for research and exploration. At this stage we need volunteers to help with software development in particular.
Horrifying Rappel Device: The backcountry canyoneering community has been pushing the limits of lightweight ropes with 22g/m, 6mm dyneema PUR line. Right now the limiting factor isn't total strength, but heat dissipation in the rope. I'm working on ideas for a rappel device which doesn't use rope friction to dissipate your potential energy, which would remove this constraint and allow for some truly deranged rope selections.
Past Projects
Gainful Employment
I worked as an electrical engineer at Joby Aero for a number of years,
mostly designing the pilot controls and flight instrumentation.
Prior to that I was a research engineer at Otherlab.
I also operated a nuclear reactor for a few years!
Thesis
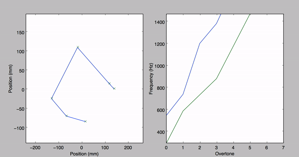
For my undergrad thesis I came up with a new way of designing flat plate bells which made it easy to tune their overtones. The bells were designed by simulating their vibration and then optimizing the boundary shapes to match the sound. Here's the code if you want to reproduce it, and you can check out my seminar presentation, or an article, or an interview.
I also built a electronic speckle pattern interferometer to check its vibration modes against the simulation.
Here's the outline of a bell converging to its target
Ropework
Much of my free time goes to exploring caves and canyons. For example, here's a blog post with me in it. Below are some pictures of places I was instrumental in discovering. Invite me on your expedition!
Maps
I am fond of good interactive maps. Nowhere near href.cool levels of original, but here's my contribution to hyperlinking.
Show me the maps
Blitzortung
Radiooooo
EIA Real-time Operating Grid
electricityMap
Mapping Segregation
The globe of economic complexity
Planet
Shipmap
Draw all roads in a city at once
Macrostrat
open infrastructure map
Mammals
The Huell Mapp!
NGMDB mapView
topoView
JAXA Global Rainfall Watch
Surfacing: Mauritius
NEIS Data Visualization
DeepZoom Nautical Charts
MarineTraffic
Flightradar24
FlightAware MiseryMap
Tabletop Whale
Cell Tower Distribution
Abandoned Railroad Corridors
Light pollution map
XC Skies
Well-Tempered Traveler
California Abandoned Rails
fort ord profile
ORBIS
River Runner
what3words
Submarine Cables Globe
Probable Futures
Clouds of Unknowing: Edward Quin's *Historical Atlas* (1830)
Weather Spark
DarkSiteFinder
Pantheon
Global Sequencer
ALERT Wildfire: Eagle Rock Lookout
Radiooooo
OpenTopography
Radio Garden
EarthExplorer
HeyWhatsThat
electricityMap
FlyXc
Thermal Springs in the U.S.
NCEI Maps
the Degree Confluence Project
Felt
Who Was Alive?
World Imagery Wayback
Notable people
Big Sur Trailmap
Chronotrains
The Social Capital Atlas
Forty Million Daggers!
National Rail Network Map
OpenRailwayMap
America
realtime.info
Bird Migration Explorer
Fogust
OneZoom
The Color of US Rivers
Submarine Cable Map
LeoLabs
WiGLE
ALERT Wildfire
Astronaut
National Parks Map
The Map of the Universe
NASA SEDAC Population Estimator
Wonders of Street View
The National Map
Levi Walter Yaggy's Geographical Maps and Charts (1887/93)
California Rainfall Totals
National Water Dashboard
Hatnote Listen to Wikipedia
Natural Flows Database
Niche Museums
USGS Lidar Explorer
geospatial-wheels
GPS Log Drive
Global Watersheds
San Francisco Neighborhood Map
EXP TV
After The Tone
Electricity Maps
Interactive map of Linux kernel
amtrak explorer
Native Land
Mini Tokyo 3D
GPSJam
MapsFM
NYC Neighborhood Map
Snap Map
EOSDIS Worldview
overpass turbo
Planetary Computer
History and Geography of Europe
Grottocenter
WaterwayMap
California Snowpack Levels
Evergreen Cemetery (Santa Cruz, California)
Geologic Map of California
The Complete Review
Archaeological Atlas of Antiquity
ADS-B Massive Visualizer
Airborne geophysical surveys
Calculating Empires
Wikimap
Taconomical
Waypoint
Best affordable warm places to live in the US
Allmaps Here
DOC Maps
Geology of the Grand Canyon
iOverlander
Mercator: Extreme
SunsetWx
Falling Fruit
earth
Cooperative National Geologic Map
Hot Springs
tracks and traces
What's Growing In California?
Old NYC
American English Dialects
Bikes
Pictures of bikes I welded out of abandoned frames, presented without comment






